Упр.30.2 ГДЗ Мордкович Семенов 11 класс (Алгебра)
Решение #1 (Учебник 2025)
Решение #2 (Учебник 2022)

Рассмотрим вариант решения задания из учебника Мордкович, Семенов, Александрова 11 класс, Просвещение:
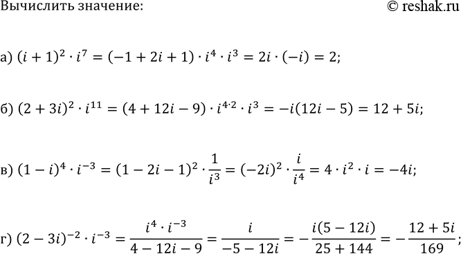
Вычислите:
а) (i + 1)^2·i^7; в) (1 - i)^4 · i^(-3);
б) (2 + 3i)^2 · i^11; г) (2 - 3i)^(-2) · i^(-3).
Установите, равносильны ли данные неравенства:
а) 1/v(x-1)>1 и x-1>1; г) 1/v(x-1)<1 и x>2;
б) v(3^x-2)>1 и x>1; д) v(3^x-2)<1 и x<1;
в) log_0,1(x)>1 и x<0,1; е) 1/lg(x)>1 и x<10.
Похожие решебники
Популярные решебники 11 класс Все решебники
*К сожалению, временные проблемы с публикацией комментариев с мобильных устройств.