Упр.30.4 ГДЗ Мордкович Семенов 11 класс (Алгебра)
Решение #1 (Учебник 2025)
Решение #2 (Учебник 2022)

Рассмотрим вариант решения задания из учебника Мордкович, Семенов, Александрова 11 класс, Просвещение:
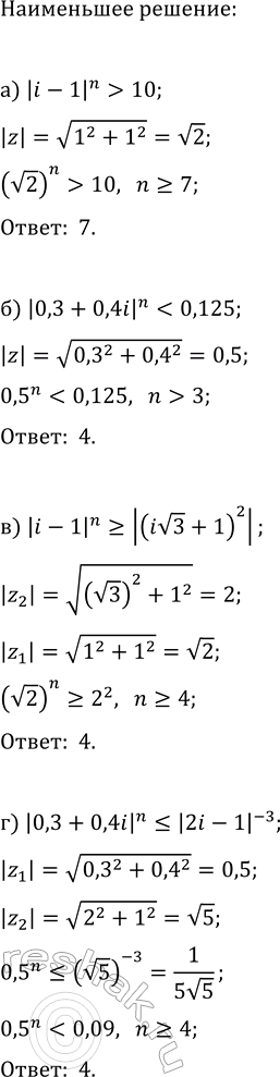
Найдите наименьшее натуральное решение неравенства:
а) |i - 1|^n > 10; в) |i - 1|^n ? |(iv3 + 1)^2|;
б) |0,3 + 0,4i|^n < 0,125; г) |0,3 + 0,4i|^n ? |2i - 1|^(-3).
Решите неравенство, применяя теоремы о равносильности:
а) ln(x^2+15)>ln(2x^2+6);
б) log_(1/3)(2x+1)?log_(1/3)(x-5);
в) log_12(3x^2+1)?log_12(5-4x);
г) lg(12x^2+11)>lg(8x^2+15);
д) log_21(6x-11)?log_21(3x+2);
е) log_(1/?)(2x^2+1)>log_(1/?)(x+4).
Похожие решебники
Популярные решебники 11 класс Все решебники
*К сожалению, временные проблемы с публикацией комментариев с мобильных устройств.