Упр.30.6 ГДЗ Мордкович Семенов 11 класс (Алгебра)
Решение #1 (Учебник 2025)
Решение #2 (Учебник 2022)

Рассмотрим вариант решения задания из учебника Мордкович, Семенов, Александрова 11 класс, Просвещение:
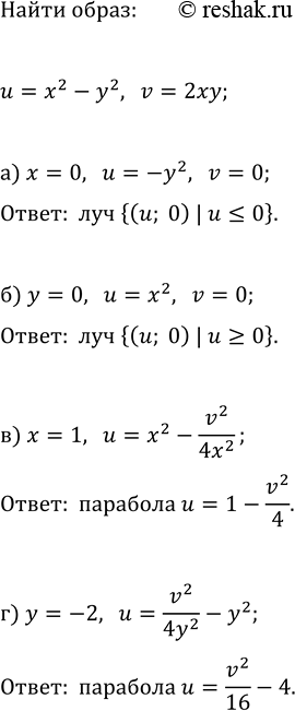
Для функции w = z^2, w = u + iv, z = x + iy найдите в w-плоскости образ:
а) прямой x = 0 из z-плоскости;
б) прямой y = 0 из z-плоскости;
в) прямой x = 1 из z-плоскости;
г) прямой y = -2 из z-плоскости.
Решите неравенство методом введения новой переменной:
а) x^(1/3)-x^(1/6)-2?0; г) x^(1/5)-6x^(1/10)+8>0;
б) x^2-7|x|+6>0; д) x^2+2|x|-8<0;
в) |x^2-3|x|+2|<0; е) |x^2-8|x|+12|?0.
Похожие решебники
Популярные решебники 11 класс Все решебники
*К сожалению, временные проблемы с публикацией комментариев с мобильных устройств.