Упр.30.23 ГДЗ Мордкович Семенов 11 класс (Алгебра)
Решение #1

Рассмотрим вариант решения задания из учебника Мордкович, Семенов, Александрова 11 класс, Просвещение:
30.23. Решите неравенство:
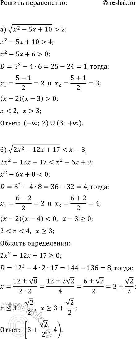
а) v(x^2-5x+10) > 2; г) v(x^2-5x+15)?3;
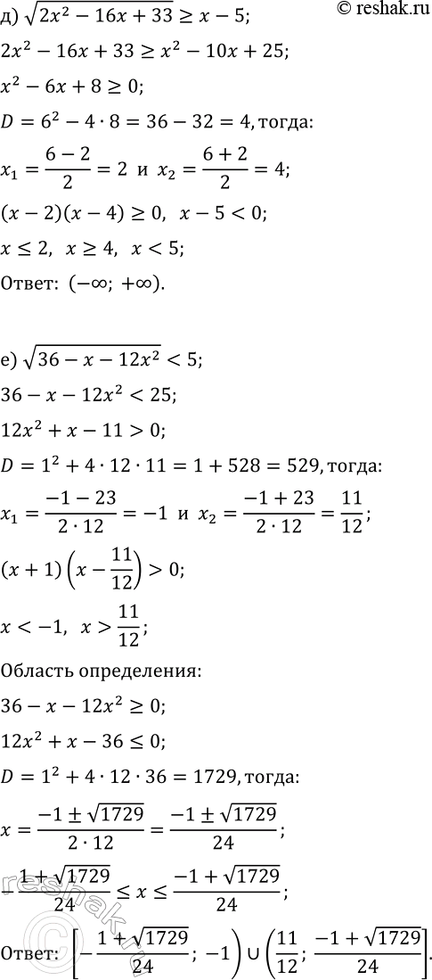
б) v(2x^2-12x+17) < x-3; д) v(2x^2-16x+33)?x-5;
в) v(x^2-4x-3)?3; е) v(36-x-12x^2) < 5.
Похожие решебники
Популярные решебники 11 класс Все решебники
*размещая тексты в комментариях ниже, вы автоматически соглашаетесь с пользовательским соглашением