Упр.3.7 ГДЗ Дорофеев Суворова 9 класс (Алгебра)
Решение #1

Рассмотрим вариант решения задания из учебника Дорофеев, Суворова, Бунимович 9 класс, Просвещение:
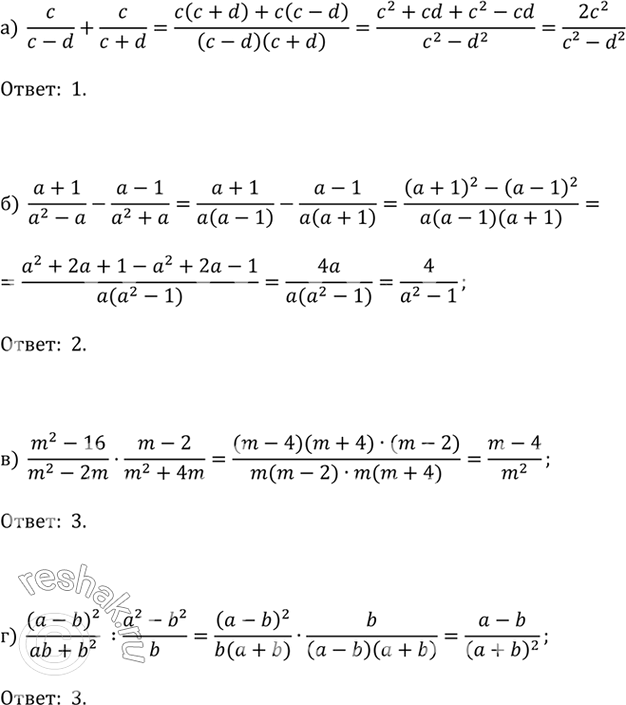
Какая из дробей равна данному выражению?
а) c/(c - d) + c/(c + d): 1) 2c^2/(c^2 - d^2) 2) 2/(1 - d^2) 3) 2c/(c^2 - d^2);
б) (a + 1)/(a^2 - a) - (a - 1)/(a^2 + a): 1) -1/a 2) 4/(a^2 - 1) 3) 2/(a^3 - a);
в) (m^2 - 16)/(m^2 - 2m) · (m - 2)/(m^2 + 4m): 1) -3/m 2) 1/(m + 2) 3) (m - 4)/m^2;
г) (a - b)^2/(ab + b^2) : (a^2 - b^2)/b: 1) 1/(a + b)^2 2) (a-b)^3/b^2 3) (a - b)/(a + b)^2.
Популярные решебники 9 класс Все решебники
*размещая тексты в комментариях ниже, вы автоматически соглашаетесь с пользовательским соглашением