Упр.3.5 ГДЗ Дорофеев Суворова 9 класс (Алгебра)
Решение #1

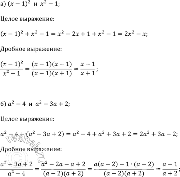
Рассмотрим вариант решения задания из учебника Дорофеев, Суворова, Бунимович 9 класс, Просвещение:
Из двух данных выражений составьте какое-нибудь целое выражение и преобразуйте его в многочлен, а затем составьте какое-нибудь дробное выражение и упростите его:
а) (x - 1)^2 и x^2 - 1;
б) a^2 - 4 и a^2 - 3a + 2.
Популярные решебники 9 класс Все решебники
*К сожалению, временные проблемы с публикацией комментариев с мобильных устройств.