Упр.3.7 ГДЗ Дорофеев Суворова 7 класс (Алгебра)
Решение #1

Рассмотрим вариант решения задания из учебника Дорофеев, Суворова, Бунимович 7 класс, Просвещение:
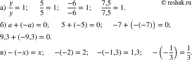
Приведите три числовых примера, иллюстрирующих буквенное равенство:
а) y/y = 1;
б) a + (-а) = 0;
в) —(—x) = х.
Популярные решебники 7 класс Все решебники
*размещая тексты в комментариях ниже, вы автоматически соглашаетесь с пользовательским соглашением