Упр.3.2 ГДЗ Дорофеев Суворова 7 класс (Алгебра)
Решение #1

Рассмотрим вариант решения задания из учебника Дорофеев, Суворова, Бунимович 7 класс, Просвещение:
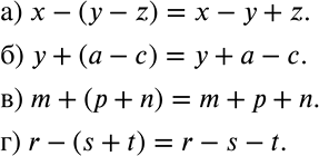
Работаем с символами Подберите соответствующее буквенное равенство из предыдущего упражнения и, используя его, запишите без скобок следующее выражение:
а) х- (у - z);
б) у + (а - с);
в) m + (р + n);
г) г - (s + t).
Популярные решебники 7 класс Все решебники
*размещая тексты в комментариях ниже, вы автоматически соглашаетесь с пользовательским соглашением