Упр.3.6 ГДЗ Дорофеев Суворова 7 класс (Алгебра)
Решение #1

Рассмотрим вариант решения задания из учебника Дорофеев, Суворова, Бунимович 7 класс, Просвещение:
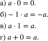
Работаем с символами Запишите с помощью букв свойство арифметического действия, которое зашифровано данными равенствами:
а) 6 * 0 = 0,
1,8 * 0 = 0,
-7 * 0 = 0;
б) -1 * 36 = -36,
0,5 * (-1) = -0,5,
-3 * (-1) = 3;
в) 12 * 1 = 12,
1 * (-8) = -8,
1 * 2/7 = 2/7;
г) 1,7 + 0= 1,7,
-6 + 0 = -6,
1/3 + 0 = 1/3.
Популярные решебники 7 класс Все решебники
*размещая тексты в комментариях ниже, вы автоматически соглашаетесь с пользовательским соглашением