Упр.3.10 ГДЗ Дорофеев Суворова 7 класс (Алгебра)
Решение #1

Рассмотрим вариант решения задания из учебника Дорофеев, Суворова, Бунимович 7 класс, Просвещение:
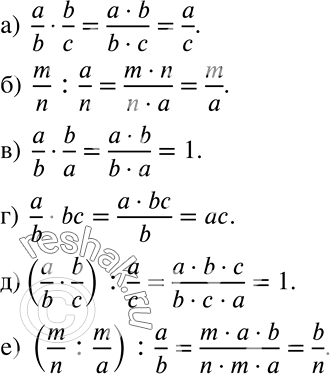
Выполните действия с дробями, записанными в буквенном виде:
а) a/b * b/c;
б) m/n : a/n;
в) a/b * b/a;
г) a/b * bc;
д) (a/b * b/c) : a/c;
е) (m/n : m/a) : a/b.
Популярные решебники 7 класс Все решебники
*размещая тексты в комментариях ниже, вы автоматически соглашаетесь с пользовательским соглашением