Упр.3.25 ГДЗ Дорофеев Суворова 9 класс (Алгебра)
Решение #1

Рассмотрим вариант решения задания из учебника Дорофеев, Суворова, Бунимович 9 класс, Просвещение:
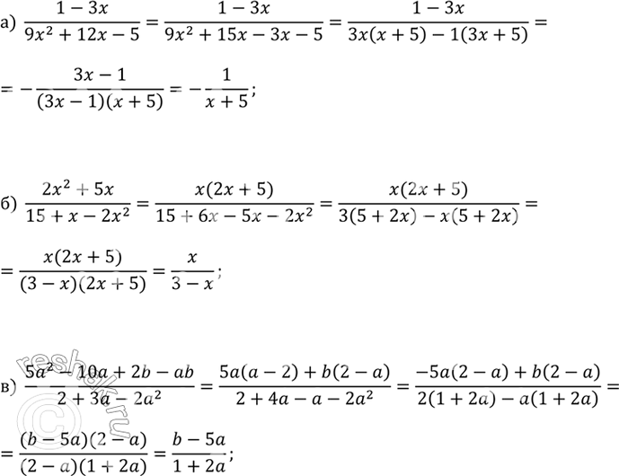
а) (1 - 3x)/(9x^2 + 12x - 5);
б) (2x^2 + 5x)/(15 + x - 2x^2);
в) (5a^2 - 10a + 2b - ab)/(2 + 3a - 2a^2);
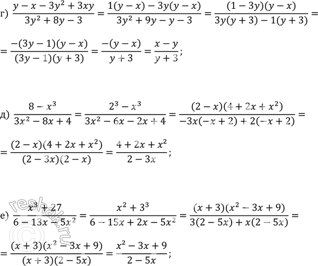
г) (y - x - 3y^2 + 3xy)/(3y^2 + 8y - 3);
д) (8 - x^2)/(3x^2 - 8x + 4);
е) (x^3 + 27)/(6 - 13x - 5x^2).
Популярные решебники 9 класс Все решебники
*К сожалению, временные проблемы с публикацией комментариев с мобильных устройств.