Упр.3.24 ГДЗ Дорофеев Суворова 9 класс (Алгебра)
Решение #1

Рассмотрим вариант решения задания из учебника Дорофеев, Суворова, Бунимович 9 класс, Просвещение:
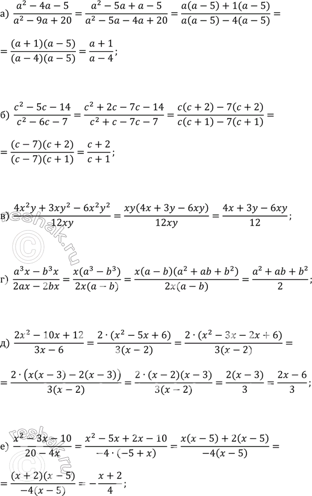
Сократите дробь (365-367).
365.
а) (a^2 - 4a - 5)/(a^2 - 9a + 20);
б) (c^2 - 5c - 14)/(c^2 - 6c - 7);
в) (4x^2y + 3xy^2 - 6x^2y^2)/12xy;
г) (a^3x - b^3x)/(2ax - 2bx);
д) (2x^2 - 10x + 12)/(3x - 6);
е) (x^2 - 3x - 10)/(20 - 4x).
Популярные решебники 9 класс Все решебники
*К сожалению, временные проблемы с публикацией комментариев с мобильных устройств.