Упр.3.19 ГДЗ Дорофеев Суворова 7 класс (Алгебра)
Решение #1

Рассмотрим вариант решения задания из учебника Дорофеев, Суворова, Бунимович 7 класс, Просвещение:
Выражение х + (-y) + (-2z) можно записать в виде алгебраической суммы, опустив знаки сложения перед скобками:
х + (-у) + (-2z) = х - у - 2z.
Воспользовавшись этим образцом, преобразуйте выражение:
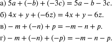
а) 5a + (-b) + (-3с);
б) 4х + у + (-6z);
в) -m + (-n) + р;
г) -m + (-n) + (-р).
Популярные решебники 7 класс Все решебники
*размещая тексты в комментариях ниже, вы автоматически соглашаетесь с пользовательским соглашением