Упр.3.18 ГДЗ Дорофеев Суворова 7 класс (Алгебра)
Решение #1

Рассмотрим вариант решения задания из учебника Дорофеев, Суворова, Бунимович 7 класс, Просвещение:
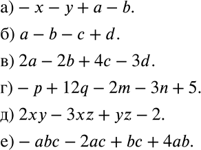
Составьте алгебраическую сумму из следующих слагаемых:
а) -х, -у, а, -b;
б) а, -b, -с, d;
в) 2а, -2b, 4с, -3d;
г) -р, 12q, -2m, -За, 5;
д) 2ху, -3xz, yz, -2;
е) -abc, -2ас, bc, 4ab.
Популярные решебники 7 класс Все решебники
*размещая тексты в комментариях ниже, вы автоматически соглашаетесь с пользовательским соглашением