🔥ГДЗ под запретом?

Упр.3.178 ГДЗ Виленкин Жохов 6 класс Часть 1, Просвещение (Математика)

Решение #1 (Учебник 2023)

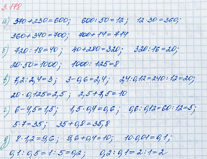
Изображение Вычислите:а) 370 + 230;   б) 720 : 18;   в) 7,2 : 2,4;   г) 6 - 4,5;   д) 8 ·...

Решение #2 (Учебник 2023)

Изображение Вычислите:а) 370 + 230;   б) 720 : 18;   в) 7,2 : 2,4;   г) 6 - 4,5;   д) 8 ·...

Рассмотрим вариант решения задания из учебника Виленкин, Жохов, Чесноков 6 класс, Просвещение:
Вычислите:
а) 370 + 230; б) 720 : 18; в) 7,2 : 2,4; г) 6 - 4,5; д) 8 · 1,2

*Цитирирование задания со ссылкой на учебник производится исключительно в учебных целях для лучшего понимания разбора решения задания.
*К сожалению, временные проблемы с публикацией комментариев с мобильных устройств.