Упр.28.29 ГДЗ Мордкович Семенов 11 класс (Алгебра)
Решение #1

Рассмотрим вариант решения задания из учебника Мордкович, Семенов, Александрова 11 класс, Просвещение:
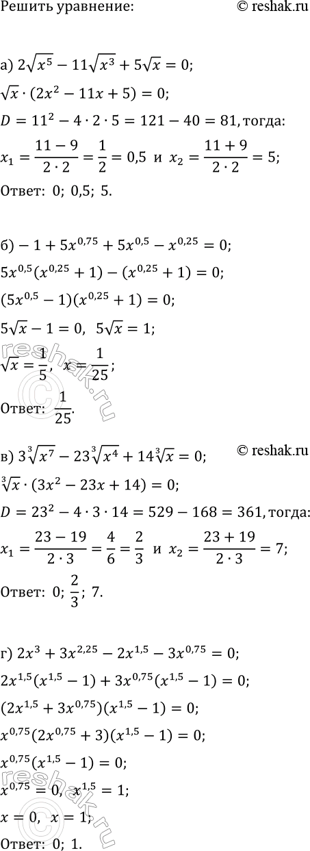
28.29. Решите уравнение методом разложения на множители:
а) 2v(x^5)-11v(x^3)+5vx=0;
б) -1+5x^0,75+5x^0,5-x^0,25=0;
в) 3(x^7)^(1/3)-23(x^4)^(1/3)+14x^(1/3)=0;
г) 2x^3+3x^2,25-2x^1,5-3x^0,75=0.
Похожие решебники
Популярные решебники 11 класс Все решебники
*размещая тексты в комментариях ниже, вы автоматически соглашаетесь с пользовательским соглашением