Упр.28.32 ГДЗ Мордкович Семенов 11 класс (Алгебра)
Решение #1

Рассмотрим вариант решения задания из учебника Мордкович, Семенов, Александрова 11 класс, Просвещение:
28.32. Решите уравнение:
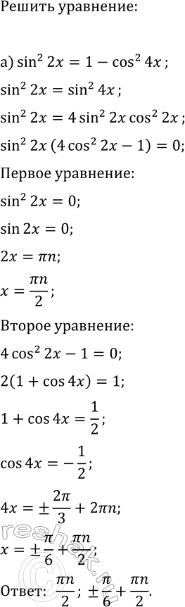
а) sin^2(2x)=1-cos^2(4x);
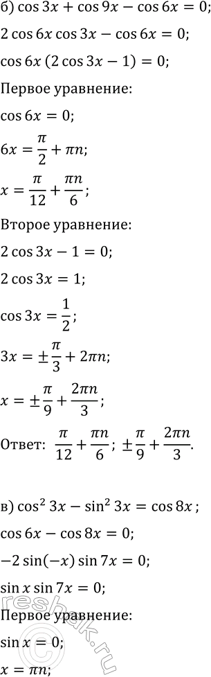
б) cos(3x)+cos(9x)-cos(6x)=0;
в) cos^2(3x)-sin^2(3x)=cos(8x);
г) sin(7x)+sin(3x)+cos(2x)=0.
Похожие решебники
Популярные решебники 11 класс Все решебники
*размещая тексты в комментариях ниже, вы автоматически соглашаетесь с пользовательским соглашением