Упр.28.23 ГДЗ Мордкович Семенов 11 класс (Алгебра)
Решение #1 (Учебник 2022)

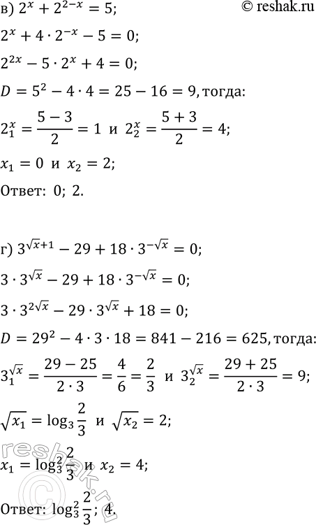
Рассмотрим вариант решения задания из учебника Мордкович, Семенов, Александрова 11 класс, Просвещение:
Решите уравнение методом введения новой переменной:
а) 3^(x+1)+3^(1-x)=10; в) 2^x+2^(2-x)=5;
б) 5^(2vx+1)+1=6·5^(vx); г) 3^(vx+1)-29+18·3^(-vx)=0.
Похожие решебники
Популярные решебники 11 класс Все решебники
*К сожалению, временные проблемы с публикацией комментариев с мобильных устройств.