Упр.28.19 Часть 2 ГДЗ Мордкович Семенов 7 класс (Алгебра)
Решение #1 (Учебник 2019)

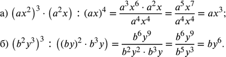
Рассмотрим вариант решения задания из учебника Мордкович, Семенов, Александрова 7 класс, Бином:
Упростите выражение:
а) (ах^2)^3 · (а^2 х) : (ах)^4; б) (b^2 y^3)^3 : ((by)^2 · b^3 y).
Похожие решебники
Популярные решебники 7 класс Все решебники
*К сожалению, временные проблемы с публикацией комментариев с мобильных устройств.