Упр.28.17 Часть 2 ГДЗ Мордкович Семенов 7 класс (Алгебра)
Решение #1 (Учебник 2019)

Рассмотрим вариант решения задания из учебника Мордкович, Семенов, Александрова 7 класс, Бином:
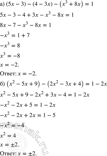
Решите уравнение:
а) (5x - 3) - (4 - 3х) - (х^3 + 8х) = 1;
б) (х^2 - 5x + 9) - (2х^2 - 3x + 4) = 1 - 2х.
Похожие решебники
Популярные решебники 7 класс Все решебники
*К сожалению, временные проблемы с публикацией комментариев с мобильных устройств.