Упр.28.14 Часть 2 ГДЗ Мордкович Семенов 7 класс (Алгебра)
Решение #1 (Учебник 2019)

Рассмотрим вариант решения задания из учебника Мордкович, Семенов, Александрова 7 класс, Бином:
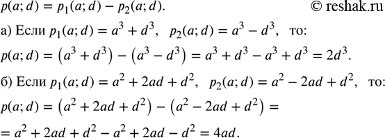
Найдите p(a; d) = p_1 (a; d) - р_2 (a; d), если:
а) P_1 (a; d) = a^3 + d^3, р_2 (a; d) = a^3 - d^3;
б) P_1 (a; d) = a^2 + 2ad + d^2, р_2 (a; d) = a^2 - 2ad + d^2.
Похожие решебники
Популярные решебники 7 класс Все решебники
*К сожалению, временные проблемы с публикацией комментариев с мобильных устройств.