Упр.22.23 ГДЗ Мордкович Семенов 11 класс (Алгебра)
Решение #1 (Учебник 2025)

Рассмотрим вариант решения задания из учебника Мордкович, Семенов, Александрова 11 класс, Просвещение:
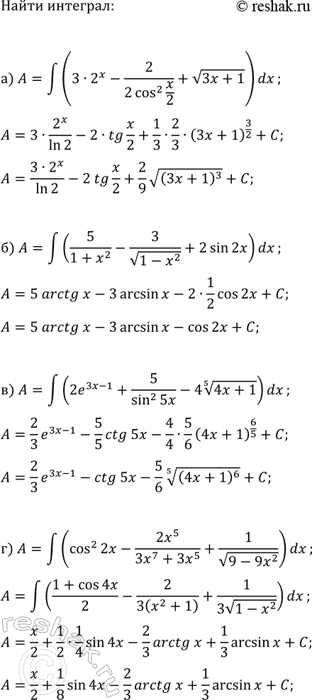
Найдите неопределённый интеграл.
а) ?(3 · 2^x - 2 / (2cos^2 (x/2)) + v(3x + 1)) dx;
б) ?(5 / (1 + x^2) - 3 / v(1 - x^2) + 2sin 2x) dx;
в) ?(2e^(3x-1) + 5 / (sin^2 5x) - 4 (4x+1)^(1/5)) dx;
г) ?(cos^2 2x - (2x^5 / (3x^7 + 3x^5) + 1 / v(9 - 9x^2)) dx.
Похожие решебники
Популярные решебники 11 класс Все решебники
*К сожалению, временные проблемы с публикацией комментариев с мобильных устройств.