Упр.2.9 ГДЗ Дорофеев Суворова 9 класс (Алгебра)
Решение #1

Рассмотрим вариант решения задания из учебника Дорофеев, Суворова, Бунимович 9 класс, Просвещение:
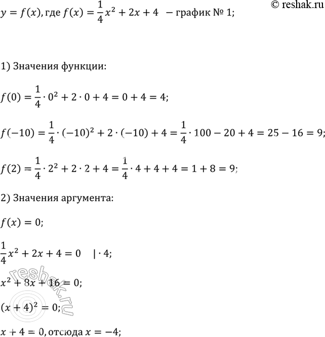
Найдите на рисунке 2.2 график функции у = f(х), где
f(x) = 1/4 x^2 + 2х +4. Определите по графику и вычислите по формуле:
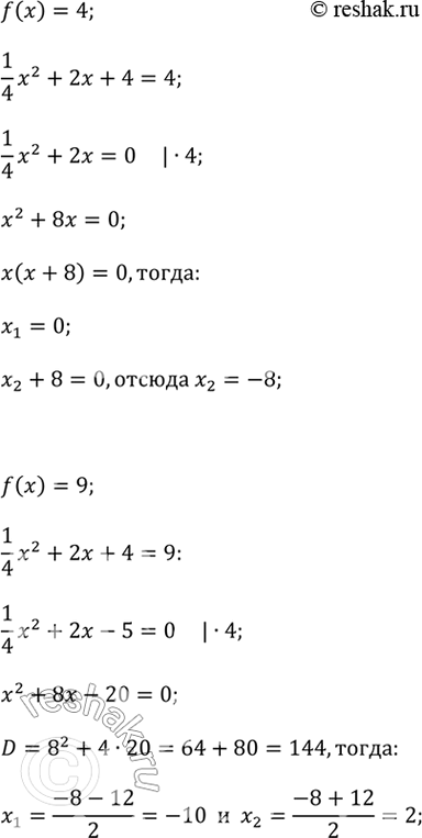
1) f(0), f(-10), f(2);
2) значения аргумента х, при которых f(x) = 0, f(x) = 4, f(x) = 9.
Популярные решебники 9 класс Все решебники
*К сожалению, временные проблемы с публикацией комментариев с мобильных устройств.