Упр.2.8 ГДЗ Дорофеев Суворова 9 класс (Алгебра)
Решение #1

Рассмотрим вариант решения задания из учебника Дорофеев, Суворова, Бунимович 9 класс, Просвещение:
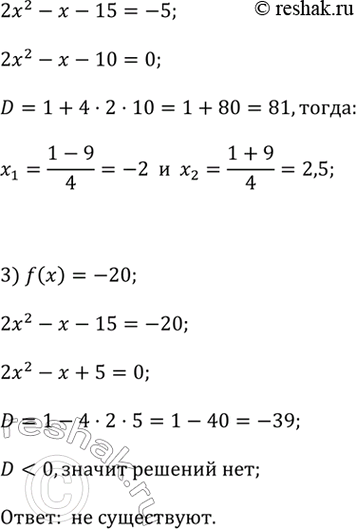
Дана функция f(x) = 2x^2 - x - 15.
1) Найдите f(3), f(0), f(-3), f(-2,5).
2) Найдите значения аргумента, при которых f(x) = 0, f(x) = -5.
3) Существуют ли значения х, при которых f(x) = -20?
Популярные решебники 9 класс Все решебники
*размещая тексты в комментариях ниже, вы автоматически соглашаетесь с пользовательским соглашением