🔥ГДЗ под запретом?

Упр.2.268 ГДЗ Виленкин Жохов 6 класс Часть 1, Просвещение (Математика)

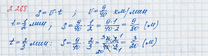
Решение #1 (Учебник 2023)

Изображение Упр.2.268 ГДЗ Виленкин Жохов 6 класс Часть 1, Просвещение

Решение #2 (Учебник 2023)

Изображение Упр.2.268 ГДЗ Виленкин Жохов 6 класс Часть 1, Просвещение

Решение #3 (Учебник 2021)

Изображение Упр.2.268 ГДЗ Виленкин Жохов 6 класс Часть 1, Просвещение

Рассмотрим вариант решения задания из учебника Виленкин, Жохов, Чесноков 6 класс, Просвещение:
Какой путь преодолеет всадник за 1/2 мин; 2/3 мин, если его скорость 9/40 км/мин?

В бутылке 3/4 л сока. Сколько сока в 3, 4 и 20 таких бутылках?

*Цитирирование задания со ссылкой на учебник производится исключительно в учебных целях для лучшего понимания разбора решения задания.
*К сожалению, временные проблемы с публикацией комментариев с мобильных устройств.