Упр.192 ГДЗ Мерзляк 9 класс (Алгебра)
Решение #1 (Учебник 2024)
Решение #2 (Учебник 2021)
Решение #3 (Учебник 2021)

Рассмотрим вариант решения задания из учебника Мерзляк, Полонская, Якир 9 класс, Просвещение:
Докажите, что значение выражения 25^10-5^17, кратно числу 31.
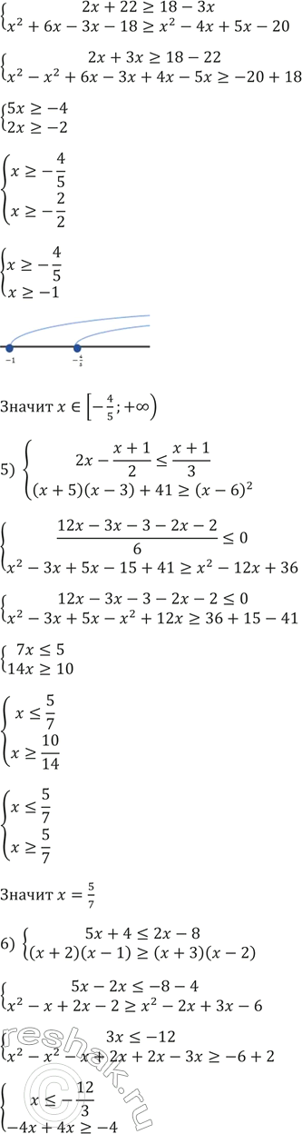
Решите систему неравенств:
1) система
8(2 - х) - 2х > 3,
3(6х - 1) - х < 2х;
Похожие решебники
Популярные решебники 9 класс Все решебники
*К сожалению, временные проблемы с публикацией комментариев с мобильных устройств.