Упр.17.17 ГДЗ Мордкович Семенов 11 класс (Алгебра)
Решение #1 (Учебник 2025)

Рассмотрим вариант решения задания из учебника Мордкович, Семенов, Александрова 11 класс, Просвещение:
Исследуйте функцию на монотонность и экстремумы:
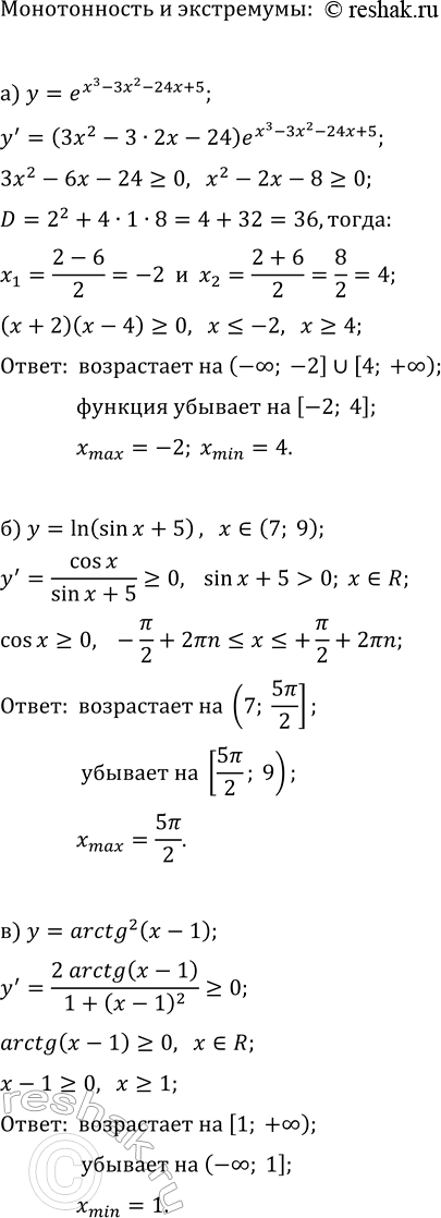
а) y = e^(x^3 - 3x^2 - 24x + 5);
б) y = ln(sin x + 5), x ? (7; 9);
в) y = (arctg(x - 1))^2;
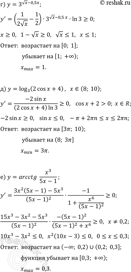
г) y = 3^(vx - 0,5x);
д) y = log(3; 2cos x + 4), x ? (8; 10);
е) y = arcctg (x^3 / (5x - 1)).
Похожие решебники
Популярные решебники 11 класс Все решебники
*К сожалению, временные проблемы с публикацией комментариев с мобильных устройств.