Упр.17.13 ГДЗ Мордкович Семенов 11 класс (Алгебра)
Решение #1 (Учебник 2025)
Решение #2 (Учебник 2022)

Рассмотрим вариант решения задания из учебника Мордкович, Семенов, Александрова 11 класс, Просвещение:
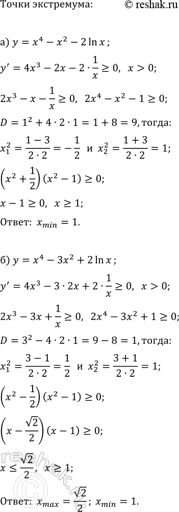
Найдите точки экстремума заданной функции и определите их характер:
а) y = x^4 - x^2 - 2ln(x); б) y = x^4 - 3x^2 + 2ln(x).
Решите уравнение:
а) sin(x)·ln(9-x^2)=0;
б) cos(x)·lg(5x-6-x^2)=0;
в) ctg(x)·v(16-x^2)=0;
г) tg(x)·(9x-8-x^2)^(1/4)=0.
Похожие решебники
Популярные решебники 11 класс Все решебники
*К сожалению, временные проблемы с публикацией комментариев с мобильных устройств.