Упр.17.12 ГДЗ Мордкович Семенов 11 класс (Алгебра)
Решение #1 (Учебник 2025)
Решение #2 (Учебник 2022)

Рассмотрим вариант решения задания из учебника Мордкович, Семенов, Александрова 11 класс, Просвещение:
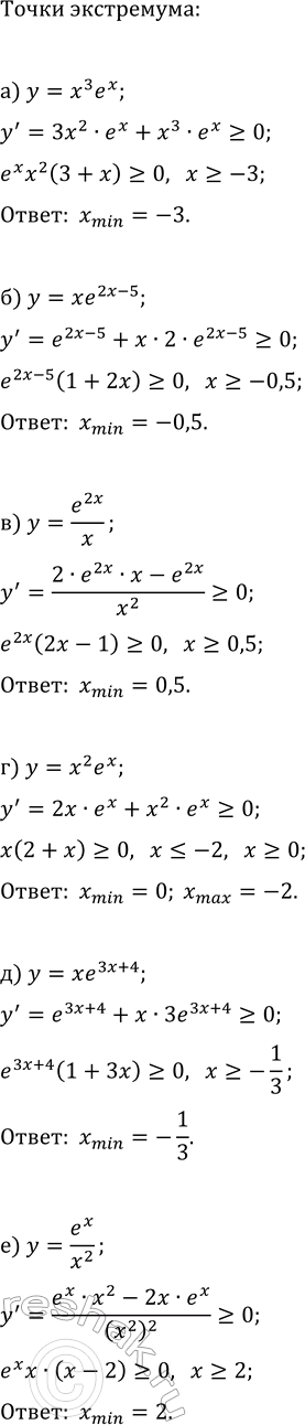
Найдите точки экстремума заданной функции и определите их характер:
а) y = x^3 e^x; б) y = x e^(2x-5);
в) y = e^(2x) / x; г) y = x^2 e^x;
д) y = x e^(3x+4); е) y = e^x / x^2.
При каких значения параметра р:
а) уравнение 3x^2-x^3=p-2 имеет единственный корень;
б) уравнение x^4-2x^2=p+1 не имеет корней?
Похожие решебники
Популярные решебники 11 класс Все решебники
*К сожалению, временные проблемы с публикацией комментариев с мобильных устройств.