Упр.15.32 ГДЗ Мордкович Семенов 11 класс (Алгебра)
Решение #1 (Учебник 2025)
Решение #2 (Учебник 2022)

Рассмотрим вариант решения задания из учебника Мордкович, Семенов, Александрова 11 класс, Просвещение:
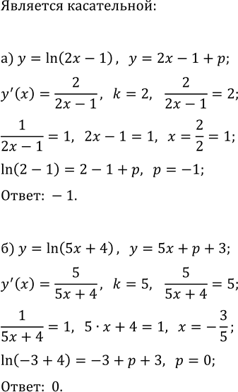
а) При каком значении параметра p прямая y = 2x - 1 + p является касательной к графику функции y = ln(2x - 1)?
б) При каком значении параметра p прямая y = 5x + p + 3 является касательной к графику функции y = ln(5x + 4)?
Решите неравенство:
а) 3·(1/3)^(2x)-13·(1/3)^x+4?0;
б) 3·25^x-8·15^x+5·9^x?0;
в) 4·(1/4)^(2x)-13·(1/4)^x+3?0;
г) 4·16^x-11·28^x+7·49^x?0.
Похожие решебники
Популярные решебники 11 класс Все решебники
*К сожалению, временные проблемы с публикацией комментариев с мобильных устройств.