Упр.15.28 ГДЗ Мордкович Семенов 11 класс (Алгебра)
Решение #1 (Учебник 2025)
Решение #2 (Учебник 2022)

Рассмотрим вариант решения задания из учебника Мордкович, Семенов, Александрова 11 класс, Просвещение:
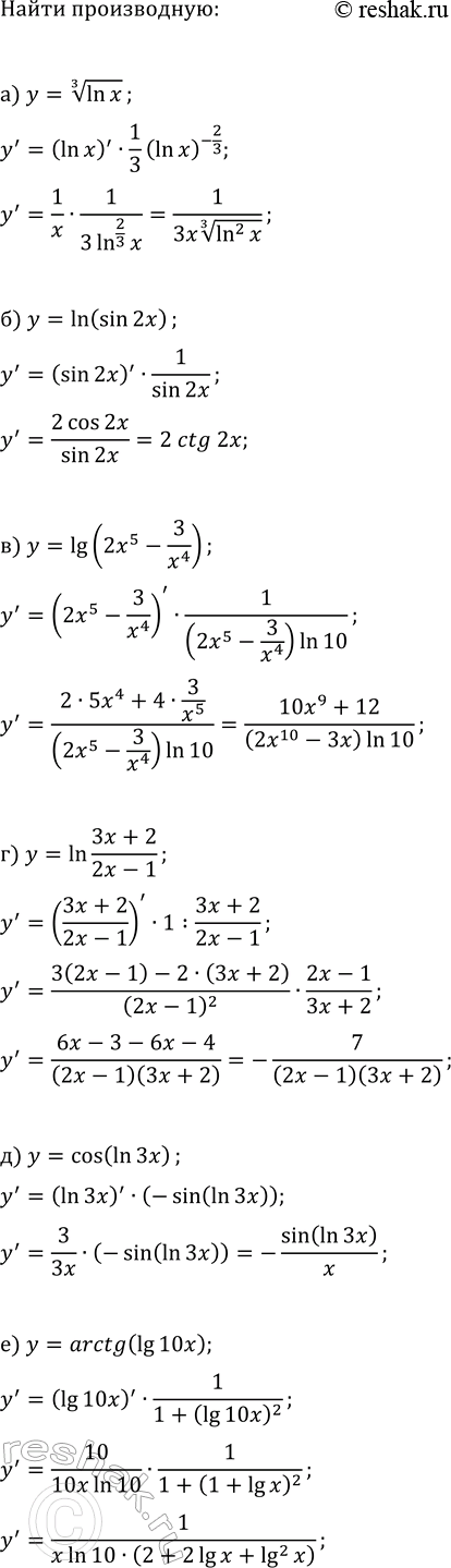
Найдите производную функции:
а) y = (ln(x))^(1/3); б) y = ln(sin 2x);
в) y = lg(2x^5 - 3/x^4); г) y = ln((3x+2) / (2x-1));
д) y = cos(ln(3x)); е) y = arctg(lg(10x)).
Используя свойство монотонности функции, решите уравнение:
а) sin(3x)-4cos(x)-11x=x^7-4;
б) 6sin(x/3)+5cos(2x)+12x=5-x^5.
Похожие решебники
Популярные решебники 11 класс Все решебники
*К сожалению, временные проблемы с публикацией комментариев с мобильных устройств.