Упр.15.29 ГДЗ Мордкович Семенов 11 класс (Алгебра)
Решение #1 (Учебник 2025)
Решение #2 (Учебник 2022)

Рассмотрим вариант решения задания из учебника Мордкович, Семенов, Александрова 11 класс, Просвещение:
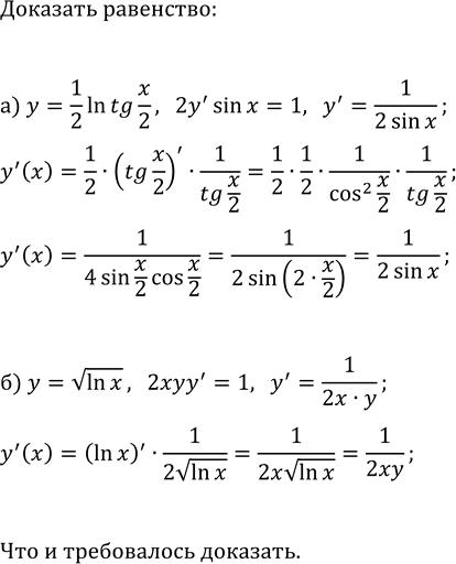
а) Докажите, что функция y = (1/2) ln(tg(x/2)) удовлетворяет соотношению 2y' sin x = 1.
б) Докажите, что функция y = vln(x) удовлетворяет соотношению 2xyy' = 1.
Используя свойство монотонности функции, решите уравнение:
а) 6sin(?x/2)+4cos(?x/2)+17x=32-7x^3-2x^5;
б) 4sin(?x/2)-3cos(?x)-20x=x^5+5x^3-19.
Похожие решебники
Популярные решебники 11 класс Все решебники
*К сожалению, временные проблемы с публикацией комментариев с мобильных устройств.