Упр.14.29 ГДЗ Лукашик 7-9 класс по физике (Физика)
Решение #1

Рассмотрим вариант решения задания из учебника Лукашик, Иванова 7 класс, Просвещение:
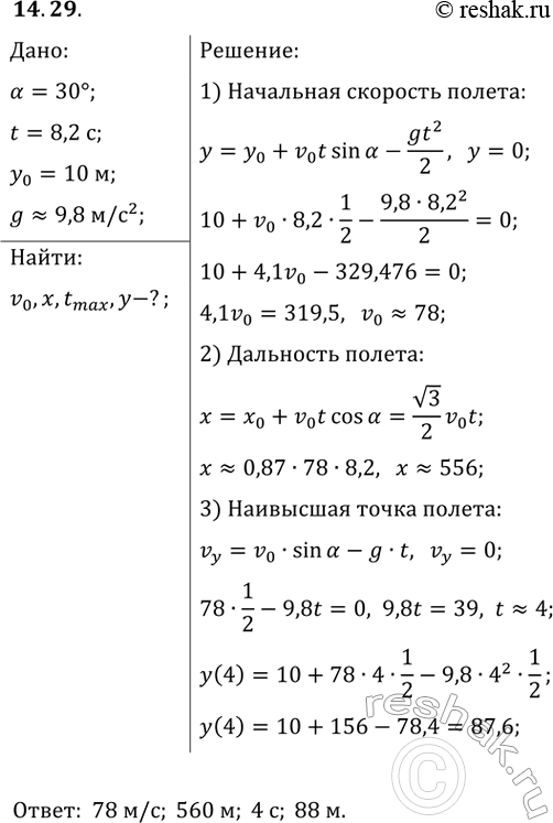
Мяч для гольфа, отправленный в полёт с вершины холма высотой 10,0 м под углом 30° к горизонту, упал на землю через 8,2 с. Определите: модуль начальной скорости тела; дальность полёта; время, за которое мяч достиг наивысшей точки траектории; максимальную высоту полёта.
Популярные решебники 7 класс Все решебники
*К сожалению, временные проблемы с публикацией комментариев с мобильных устройств.