Упр.144 ГДЗ Мерзляк 9 класс (Алгебра)
Решение #1 (Учебник 2024)
Решение #2 (Учебник 2021)
Решение #3 (Учебник 2021)

Рассмотрим вариант решения задания из учебника Мерзляк, Полонская, Якир 9 класс, Просвещение:
Решите уравнение:
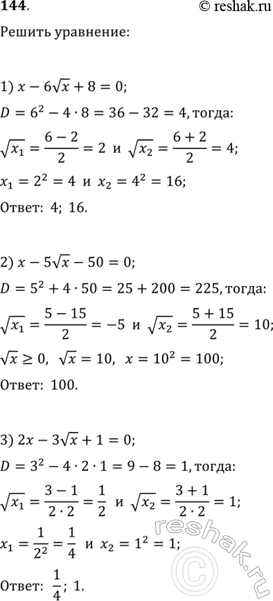
1) x-6vx+8=0;
2) x-5vx-50=0;
3) 2x-3vx+1=0.
Турист проплыл на лодке некоторое расстояние по течению реки,
а потом вернулся обратно, потратив на всё путешествие не более пяти часов.
Скорость лодки в стоячей воде равна 5 км/ч, а скорость течения — 1 км/ч.
Какое наибольшее расстояние мог проплыть турист по течению реки?
Похожие решебники
Популярные решебники 9 класс Все решебники
*К сожалению, временные проблемы с публикацией комментариев с мобильных устройств.