Упр.125 ГДЗ Мерзляк 9 класс (Алгебра)
Решение #1 (Учебник 2024)
Решение #2 (Учебник 2021)
Решение #3 (Учебник 2021)

Рассмотрим вариант решения задания из учебника Мерзляк, Полонская, Якир 9 класс, Просвещение:
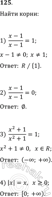
Найдите множество корней уравнения:
1) (x-1)/(x-1)=1; 2) (x-1)/(x-1)=0;
3) (x^2+1)/(x^2+1)=1; 4) |x|=x.
При каких значениях n значения выражения 12n - 5 не больше -53?
Похожие решебники
Популярные решебники 9 класс Все решебники
*размещая тексты в комментариях ниже, вы автоматически соглашаетесь с пользовательским соглашением