Упр.127 ГДЗ Мерзляк 9 класс (Алгебра)
Решение #1 (Учебник 2024)
Решение #2 (Учебник 2021)
Решение #3 (Учебник 2021)

Рассмотрим вариант решения задания из учебника Мерзляк, Полонская, Якир 9 класс, Просвещение:
Запишите совокупность, которой равносильно данное уравнение, и решите её:
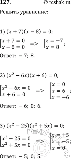
1) (x+7)(x-8)=0; 2) (x^2-6x)(x+6)=0; 3) (x^2-25)(x^2+5x)=0.
Найдите область определения функции:
1) f(х) = корень(13 - 2x);
2) f(x) = x/корень(-x - 1).
Похожие решебники
Популярные решебники 9 класс Все решебники
*размещая тексты в комментариях ниже, вы автоматически соглашаетесь с пользовательским соглашением