Упр.126 ГДЗ Мерзляк 9 класс (Алгебра)
Решение #1 (Учебник 2024)
Решение #2 (Учебник 2021)
Решение #3 (Учебник 2021)

Рассмотрим вариант решения задания из учебника Мерзляк, Полонская, Якир 9 класс, Просвещение:
Запишите систему, которой равносильно данное уравнение, и решите её:
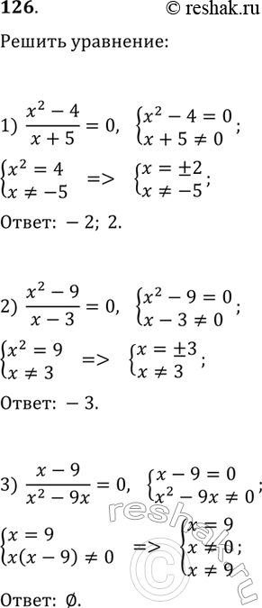
1) (x^2-4)/(x+5)=0; 2) (x^2-9)/(x-3)=0; 3) (x-9)/(x^2-9x)=0.
При каких значениях x имеет смысл выражение:
1) корень(4х + 20);
2) корень(5 - 14x);
3) 10/корень(4х + 10)?
Похожие решебники
Популярные решебники 9 класс Все решебники
*размещая тексты в комментариях ниже, вы автоматически соглашаетесь с пользовательским соглашением