Упр.123 ГДЗ Мерзляк 9 класс (Алгебра)
Решение #1 (Учебник 2024)
Решение #2 (Учебник 2021)
Решение #3 (Учебник 2021)

Рассмотрим вариант решения задания из учебника Мерзляк, Полонская, Якир 9 класс, Просвещение:
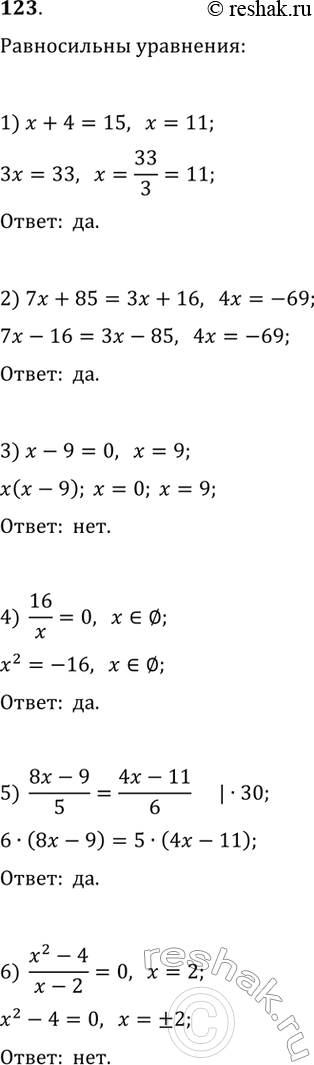
Равносильны ли уравнения:
1) x+4=15 и 3x=33;
2) 7x+85=3x+16 и 7x-16=3x-85;
3) x-9=0 и x(x-9)=0;
4) 16/x=0 и x^2=-16;
5) (8x-9)/5=(4x-11)/6 и 6(8x-9)=5(4x-11);
6) (x^2-4)/(x-2)=0 и x^2-4=0?
При каких значениях b выражение 7 — 2b принимает положительные значения?
Похожие решебники
Популярные решебники 9 класс Все решебники
*размещая тексты в комментариях ниже, вы автоматически соглашаетесь с пользовательским соглашением