Упр.124 ГДЗ Мерзляк Полонский 8 класс (Алгебра)
Решение #1 (Учебник 2025)
Решение #2 (Учебник 2025)
Решение #3 (Учебник 2019)
Решение #4 (Учебник 2019)

Рассмотрим вариант решения задания из учебника Мерзляк, Полонская, Якир 8 класс, Просвещение:
Докажите тождество:
1/((a-b)(a-c)) - 1/((a-b)(b-c)) + 1/((c-a)(c-b)) = 0.
Упростите выражение:
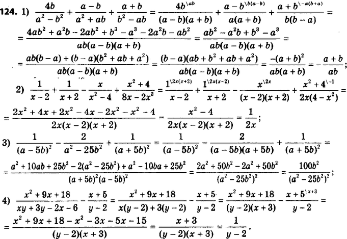
1) 4b/(a2-b2)+(a-b)/(a2+ab) + (a+b)/(b2-ab);
Похожие решебники
Популярные решебники 8 класс Все решебники
*К сожалению, временные проблемы с публикацией комментариев с мобильных устройств.