Упр.119 ГДЗ Мерзляк Полонский 8 класс (Алгебра)
Решение #1 (Учебник 2025)
Решение #2 (Учебник 2025)
Решение #3 (Учебник 2019)
Решение #4 (Учебник 2019)

Рассмотрим вариант решения задания из учебника Мерзляк, Полонская, Якир 8 класс, Просвещение:
Найдите разность дробей:
1) (a+1)/(a3-1) - 1/(a2+a+1);
2) 1/(b+3) - (b2 - 6b)/(b3+27).
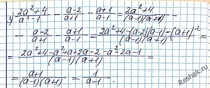
Докажите тождество:
1) (a+b)/a - a/(a-b) + b2/(a2-ab) = 0;
Похожие решебники
Популярные решебники 8 класс Все решебники
*К сожалению, временные проблемы с публикацией комментариев с мобильных устройств.