Упр.126 ГДЗ Мерзляк Полонский 8 класс (Алгебра)
Решение #1 (Учебник 2025)
Решение #2 (Учебник 2025)
Решение #3 (Учебник 2019)
Решение #4 (Учебник 2019)

Рассмотрим вариант решения задания из учебника Мерзляк, Полонская, Якир 8 класс, Просвещение:
Упростите выражение:
1/((a-1)(a-2)) + 1/((a-2)(a-3)) + 1/((a-3)(a-4)).
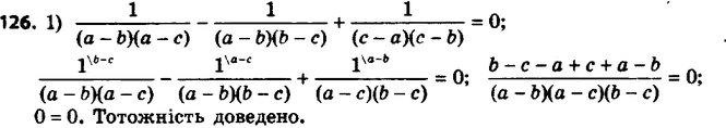
Докажите тождество:
1/((a-b)(a-c)) - 1/((a-b)(b-c)) + 1/((c-a)(c-b)) = 0.
Похожие решебники
Популярные решебники 8 класс Все решебники
*К сожалению, временные проблемы с публикацией комментариев с мобильных устройств.