Упр.128 ГДЗ Мерзляк Полонский 8 класс (Алгебра)
Решение #1 (Учебник 2025)
Решение #2 (Учебник 2025)
Решение #3 (Учебник 2019)
Решение #4 (Учебник 2019)

Рассмотрим вариант решения задания из учебника Мерзляк, Полонская, Якир 8 класс, Просвещение:
Докажите тождество:
1/(1-a) + 1/(1+a) + 2/(1+a2) + 4/(1+a4) + 8/(1+a8) + 16/(1+a16) = 32/(1-a32).
Упростите выражение:
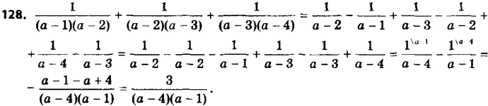
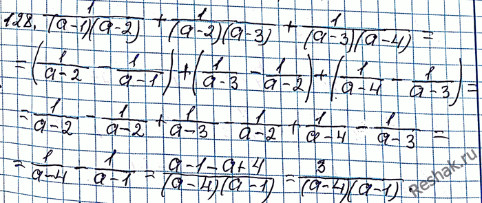
1/((a-1)(a-2)) + 1/((a-2)(a-3)) + 1/((a-3)(a-4)).
Похожие решебники
Популярные решебники 8 класс Все решебники
*К сожалению, временные проблемы с публикацией комментариев с мобильных устройств.