Упр.117 ГДЗ Мерзляк 9 класс (Алгебра)
Решение #1 (Учебник 2024)
Решение #2 (Учебник 2024)
Решение #3 (Учебник 2021)
Решение #4 (Учебник 2021)
Решение #5 (Учебник 2021)

Рассмотрим вариант решения задания из учебника Мерзляк, Полонская, Якир 9 класс, Просвещение:
В отделе технического контроля завода измеряется диаметр вала с точностью до 0,1 мм.
По таблице допусков диаметр d вала должен удовлетворять требованию 189,9 <= d <= 190,3.
Будет ли забракован вал, если в результате измерения его диаметр оказался равным 190,2 мм?
Решите неравенство:
1) 6x > 18;
2) -2х >= 10;
3) 1/3х < 9;
4) 0,1x >= 0;
5) 3/4x > 24;
6) -10x < 0;
7) 2 1/4 x <= -1 4/5;
8) -7х > 14/15;
9) 7x - 2 > 19;
10) 5x + 16 <= 6;
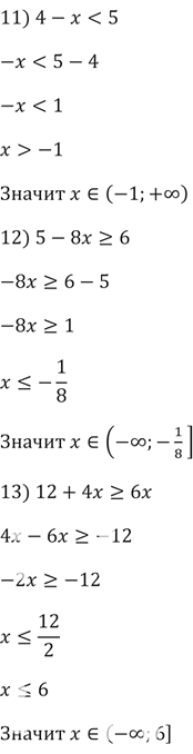
11) 4 - x < 5;
12) 5 - 8x >= 6;
13) 12 + 4x >= 6x;
14) 36 - 2х < 4x;
15) (х + 2)/5 < 2.
Похожие решебники
Популярные решебники 9 класс Все решебники
*размещая тексты в комментариях ниже, вы автоматически соглашаетесь с пользовательским соглашением