Упр.113 ГДЗ Мерзляк 8 класс (Алгебра)
Решение #1
Решение #2
Решение #3

Рассмотрим вариант решения задания из учебника Мерзляк, Полонская, Якир 8 класс, Вентана-Граф:
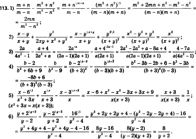
113. Упростите выражение:
1) (m+n)/(m-n) - (m2+n2)/(m2-n2);
2) (x-y)/(x+y) + y2/(2xy+x2+y2);
Похожие решебники
Популярные решебники 8 класс Все решебники
*К сожалению, временные проблемы с публикацией комментариев с мобильных устройств.