Упр.1019 ГДЗ Мерзляк Полонский 5 класс (Математика)
Решение #1 (Учебник 2024)
Решение #2 (Учебник 2019)
Решение #3 (Учебник 2019)

Рассмотрим вариант решения задания из учебника Мерзляк, Полонский, Якир 5 класс, Просвещение:
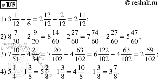
Выполните вычитание:
1) 3 1/12 - 1/6; 2) 8 7/30 - 2 9/20; 3) 7 10/51 - 4 21/34; 4) 5 1/4 - 1 3/8.
3а несколько месяцев школьная библиотека потратила 4 936 р. на покупку книг. За первый месяц было потрачено 0,4 этой суммы, а за второй — 0,35 оставшейся суммы. Сколько денег было потрачено за второй месяц?
Похожие решебники
Популярные решебники 5 класс Все решебники
*размещая тексты в комментариях ниже, вы автоматически соглашаетесь с пользовательским соглашением