Упр.1022 ГДЗ Мерзляк Полонский 5 класс (Математика)
Решение #1 (Учебник 2024)
Решение #2 (Учебник 2019)
Решение #3 (Учебник 2019)

Рассмотрим вариант решения задания из учебника Мерзляк, Полонский, Якир 5 класс, Просвещение:
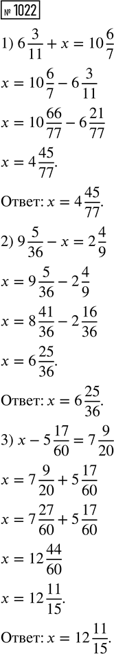
Решите уравнение:
1) 6 3/11 + x = 10 6/7;
2) 9 5/36 - x = 2 4/9;
3) x - 5 17/60 = 7 9/20.
Найдите разность двух чисел, если вычитаемое равно 65,8 и оно составляет 0,28 уменьшаемого.
Похожие решебники
Популярные решебники 5 класс Все решебники
*размещая тексты в комментариях ниже, вы автоматически соглашаетесь с пользовательским соглашением