Упр.1021 ГДЗ Мерзляк Полонский 5 класс (Математика)
Решение #1 (Учебник 2024)
Решение #2 (Учебник 2019)
Решение #3 (Учебник 2019)

Рассмотрим вариант решения задания из учебника Мерзляк, Полонский, Якир 5 класс, Просвещение:
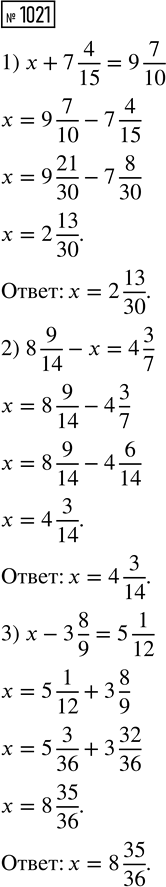
Решите уравнение:
1) x + 7 4/15 = 9 7/10;
2) 8 9/14 - x = 4 3/7;
3) x - 3 8/9 = 5 1/12.
Одно из слагаемых равно 2,88, что составляет 0,36 суммы. Найдите второе слагаемое.
Похожие решебники
Популярные решебники 5 класс Все решебники
*размещая тексты в комментариях ниже, вы автоматически соглашаетесь с пользовательским соглашением