Упр.1012 ГДЗ Мерзляк Полонский 7 класс (Алгебра)
Решение #1 (Учебник 2025)
Решение #2 (Учебник 2025)
Решение #3 (Учебник 2021)
Решение #4 (Учебник 2021)

Рассмотрим вариант решения задания из учебника Мерзляк, Полонская, Якир 7 класс, Вентана-Граф:
Пользуясь графиком функции у = f(x), изображённым на рисунке 23, заполните таблицу.
x -2 -1 0 1 2 3 4 5 6
f(x)
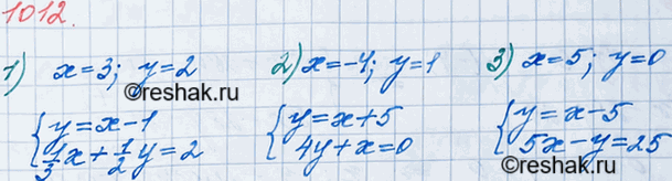
Составьте какую-нибудь систему двух линейных уравнений с двумя переменными, решением которой является пара значений переменных:
1)х=3, y= 2;
2)х = -4, y= 1;
3) х = 5, y = 0.
Похожие решебники
Популярные решебники 7 класс Все решебники
*К сожалению, временные проблемы с публикацией комментариев с мобильных устройств.