Упр.1.74 ГДЗ Дорофеев Суворова 9 класс (Алгебра)
Решение #1

Рассмотрим вариант решения задания из учебника Дорофеев, Суворова, Бунимович 9 класс, Просвещение:
Найдите целые решения системы неравенств:
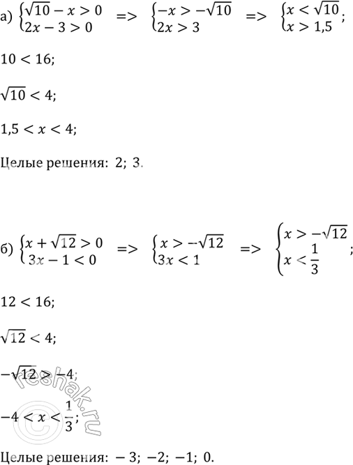
а) Система v10-x > 0 и 2x-3 > 0;
б) Система x+v12 > 0 и 3x-1 < 0;
в) Система v2+2x < 0 и 3x+10 > 0;
Популярные решебники 9 класс Все решебники
*К сожалению, временные проблемы с публикацией комментариев с мобильных устройств.