Упр.1.72 ГДЗ Дорофеев Суворова 9 класс (Алгебра)
Решение #1

Рассмотрим вариант решения задания из учебника Дорофеев, Суворова, Бунимович 9 класс, Просвещение:
Решите систему неравенств (116—117).
а) Система x > -3, x > -1 и x < 0;
б) Система y < -0,5, y < -1/3 и y < -0,6;
в) Система 2x-5 < 0, x+3?1 и 1-3x < 4;
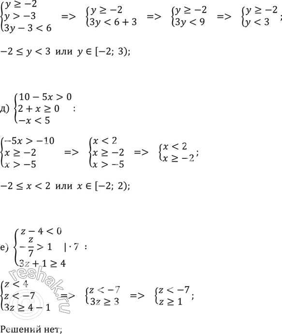
г) Система -7y?14, y/3 > -1 и 3(y-1) < 6;
д) Система 10-5x > 0, 2+x?0 и -x < 5;
е) Система z-4 < 0, -z/7 > 1 и 3z+1?4;
Популярные решебники 9 класс Все решебники
*размещая тексты в комментариях ниже, вы автоматически соглашаетесь с пользовательским соглашением